Check Mail
Follow Us
  • Home
  • About
    Company Information Vision Shareholders Board of directors
  • Project
  • Disclosure
    Company Information Environment Report
  • Resources
    Business Legislation Press Releases Notices Progress Reports
  • Careers
  • Procurement
    Procurements Notices E-Procurement
  • Download
    Lot 1 Civil and Hydromechanical Works
  • Home
  • Procurement
  • Procurement Notices

Procurement Notices

Procurement Notices 01 March 2026
Notice for Amendment to the Bid Document and Clarifications to the Queries of Lot 1 Civil and Hydromechanical Works of Ghunsa Khola HEP
Read More
Procurement Notices 12 February 2026
Notice for Amendment to the Bid Document and Clarifications to the Queries of Lot 1 Civil and Hydromechanical Works of Ghunsa Khola HEP
Read More
Procurement Notices 19 January 2026
Notice for Amendment to Bid Documents of Lot 1 Civil and Hydromechanical Works of Ghunsa Khola HEP
Read More
Procurement Notices 06|01|2026
Invitations for bid of the Construction of Lot 1 - Civil and Hydro-mechanical Works of Ghunsa Khola Hydroelectric Project (77.5 MW) Under Engineering, Procurement and Construction (EPC) Contract.
Read More
Procurement Notices Date: 10-09-2024
Invitation for Sealed Quotation for the procurement of Supply of Security Guards for Site Office in Phaktanglung RM-6, Taplejung
Read More
Procurement Notices Date of Publication: 7 June 2023
Notice of Intention to Award the Contract [RHL/GKHEP/NCB/W CF/2079/80-02]
Read More
Procurement Notices Date of Publication: 2080/2/5 (19 May 2023)
Invitation for Opening of Price Bids
Read More
Procurement Notices Date of publication: 14 May 2023
Notice of Intention to Award the Contract
Read More
Procurement Notices First Invitation Date: 23 March 2023
Addendum-2 Notice for Electronic Bids for Construction of Site Office and Camp Facilities
Read More
Procurement Notices Date of First Amendment: 7 April 2023
Addendum Notice for Bids for the construction of Land slide protection and River Training Works
Read More
Procurement Notices Date of First Amendment: 7 April 2023
Addendum Notice for Electronic Bids for Construction of Site Office and Camp Facilities
Read More
Procurement Notices
Re-invitation for Bids for the construction of Land slide protection and River Training Works
Read More
Procurement Notices Date: 3 April 2023
Notice for Cancellation of Bid
Read More
Procurement Notices Date of publication: 23 March 2023 (2079/12/09)
Invitation for Electronic Bids for Construction of Site Office and Camp Facilities
Read More
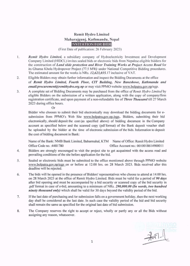
Procurement Notices First Date of publication: 26 February 2023
Invitation for Bids for the construction of Land slide protection and River Training Works at Project Access Road
Read More
Procurement Notices Date of Publication: 26-06-2022
Invitation for Sealed Quotation for the Procurement of Total Station Survey Machine under Machinery and Equipment section
Read More
Procurement Notices Date of publication: 4 June 2020
Notice of Intention to Award the Contract "Construction of Access Road, Bridge Abutments (for two Bailey Bridges), and Protection Works"
Read More
Procurement Notices Date of Publication: 2076/12/1 (14th March 2020)
Notice of Invitation for opening of Price Bids for "Construction of Access Road, Bridge Abutments (for two Bailey Bridges) and Protection Works"
Read More
Procurement Notices Date of publication: 26 February 2020
Notice of Intention to Award the Contract "Design, Supply, Delivery and Installation (launching) of single span Bailey Bridge over Tamor River"
Read More
Procurement Notices प्रकाशित मिति: २०७६।११।१३
रेमिट हाईड्रोका लागि सुरक्षाकर्मीहरुको आवश्यकता
Read More
Procurement Notices First date of publication: 15 February 2020
Re-invitation of Bids for "Construction of Access Road, Bridge Abutments (for two bailey bridges) and Protection Works"
Read More
  • ‹
  • 1
  • 2
  • 3
  • ›
Main Office

Citizen Investment Trust (Fourth Floor)

New Baneshwor, Kathmandu-31

Bagmati Province, Nepal

44600

Useful Links
  • Ministry of Energy, Water Resources and Irrigation
  • Electricity Regulatory Commission
  • Department of Electricity Development
  • Nepal Electricity Authority
  • Hydroelectricity Investment and Development Company Ltd.
  • Simbuwa Remit Hydro Ltd.

© Copyright 2024 Remit Hydro Limited

Powered by Keroneva Design

Contact us